.
PREFACE
.
This is perhaps the most important paper for its time in the study of medical geography and epidemiology. More than likely, it is also the singlemost important presentation William Farr gave in his lifetime as beliefs shifted from the miasma theory for disease towards an acceptance of the zymotic theory that he was largely responsible for. Over the next few years, this theory would become widely accepted and was a major contributor to the ever changing epidemiological nosology system in use (disease classification system). Ultimately, zymosis became the sequel to miasm and the predecessor to the bacterial theory. Researchers used it to advance their research of animalcules into a study of smaller organisms, and the relation of water quality to disease, a theory not at all like that of miasma. During this period in epidemiology history, the need for sanitation, and the ability of a disease to be transmitted from one person to the next either by direct contact or indirectly by contaminating shared objects and materials became the main focus. This drew most physicians away from the less specific, very spatial phlogistic and effluvium theories linked to miasm in general, back to the more specific and targeted anti-phlogistic chemical and infectious material theories that were based on some contagious matter. By the late 1870s and early 1880s, it was well understood that disease transmission had more to do with people than some theoretical substance like miasma or effluvium. The zymosis theory assigned more meaning to these meaningful substances.
The traditional impression about the cause for certain diseases, describing this cause as a form of miasma, effluence, putrescence or other airbound gas-like material floating about, was very useful when relating disease to topographic features such as swamps, marshes, estuaries and the like. The reason some people suffered and others not from this substance was usually ascribed to things like temperament and various events or behaviors that made someone more susceptible, such as exposing yourself to too much cold, eating a rotten apple, or engaging in too much hard labor as a farmer for the day. These were conditional events, meaning they had an impact given the proper circumstances.
Zymosis and the zymotic disease theory broke down the character of miasma into different forms and entities, further defining the relationships known to exist between patterns of disease spread in order to categorize them more, for example, into groups of diseases that could be effectively immunized against versus those that could not. Epidemiologists used this method of categorizing disease to focus more on the disease itself instead of its environment. They used this line of reasoning in particular to determine how to prevent a disease from being spread. Quarantining was a highly popular way to accomplish this, and it taught doctors that contact and lack of shared articles and air for breathing seemed closely linked to such successes. Many of the characterizations of the zymotic diseases for this time relied upon observations about the success of vaccination programs underway, especially throughout the 1840s. The use of the term zymosis or its inference began about 1837. By then it was known that the vaccination method for preventing disease was very effective for highly contagious diseases like measles and small pox, and quite soon diphtheria. But the immunization process lacked success with more environmentally-related diseases such as scarlet fever, yellow fever and cholera. Topographical features such as elevation above local wetlands and residing in places more exposed to seasonal winds appeared to have just as much influence on preventing diseases like dysentery and cholera from striking a home as immunizations did in preventing small pox and measles.
Still, due to the success of this new way of interpreting diseases (medicine is after all driven by theory and human perception, not always absolute truths) and the efforts of microbiologists, doctors were also able to break the categories of disease down even further. Applying the results of microscopic water analyses, the debris, particle content, animalcules and chemistry of water could be related to that water’s potable and non-potable characteristics. This new breed of researchers was ultimately able to document the findings needed to later lead to the bacterial theory for disease. The zymotic theory period, which lasted from 1837 to 1880, was when microbiologists learned that disease-causing micro-organisms existed.
William Farr’s elevation theory was mostly popular during the twenty five years before this peak in this peak in the zymotic disease theory developed during the 1870s. Disease geography and mapping reached their own peak in popularity during the 1850s and early 1860s. This is when the documentation of medical geography became a requirement of state epidemiologists, and when the first very lengthy reports of a state’s medical topography became a requirement. The first reports of this form were required during the early 1800s, when David Hosack requested these around 1805/1806. Such reports continued to be generated from that point on. thirty years later, enough documentation of local medical topography and geography was accumulated to enable William Farr’s work to seem to make sense to many physicians. The focus of epidemiologists and medical topographers were thus changed by William Farr’s review of elevation and topography in relation to Asiatic cholera. Thus began the downhill trend in relating diseases solely to the environment and not human sanitation practices or living behaviors. The change in major epidemic diseases from yellow fever to asiatic cholera is why such a change occurred.
Cholera was different from its predecessors in that it did not display as strong a regional characteristic like yellow fever did. Yellow fever was very much linked to the shorelines of the continent, although no one realized this was due to their transportation to this country be way of ships. This interpretation of Yellow fever led many from more inland regions to exclude their towns and cities from being at risk for these diseases, using local geographical and topographical features to rename the yellow fever and assign it very local causes (see for example my Lake Fever page).
But by linking the Asiatic cholera to transportation activities and ultimately transportation routes, this allowed for more variables in the environment to be considered and placed a greater emphasis on people to determine the combination of topographic and demographic features needed for this disease to erupt. Since the late 18th century, the alkaline theory for preventing disease was a popular environmental theory for events like the various fever epidemics, including yellow fever, followed by the severe diarrhea or dysentery epidemics that frequented regions developing into villages, and then Asiatic cholera by 1830. When the Asiatic cholera epidemics that struck Europe came to the Americas, it forced the old-fashioned interpretation of the alkaline theory to be changed changed. In 1800, it was commonly though that alkalinity linked to limestone prevented diseases from developing. Now the opposite was occuring in certain places for Asiatic cholera.
For William Farr, the chemistry of the rocks and soil were not important. He based his claims on the relation between people and the elevation of their habitats above the local water bodies. He used a variety of fairly new epidemiological techniques to prove his claims, including some of the new math for the time being applied to the field of epidemiology–the applications of probability statistics and the develop of epidemiological case-prevalence methods for arguing your claims.
The read for this article is fairly long and at times seems awkward due to the language for the time and the tendency for scholars to at times get overly enthusiastic about their work, going off on tangents and such. This is especially the case when an article is written to address a Royal Society. In one section, Farr makes lengthy references to places related to the British experience with African and Hindoostan or Indian Colonization. In his section on the Plague, Farr’s coverage is extensive, and if you have the time to pull it all together, very interesting.
Figures and graphs from the article are inserted where necessary. Some other related drawings/figures may be added at a later date.
For more on William Farr, see:
ARTICLE
Source
Quarterly Journal of the Statistical Society of London, Volume 15, (June 1852) pp. 155-183.
Description: Page breaks are not completely marked as of yet, so see the Link above to the original document for citing specific pages. As for spelling errors–the letter ‘c’ often appears instead of e in the Google text scan version (the most annoying word is ‘tho’ for ‘the’); most of these I tried to correct. The footnotes that normally appear on the bottom of a page in the original version are in grey for this version. Any page numbers noted in () or [] next to these notes or next to the figures were added by me.
.
***************************************************
Influence of Elevation on the Fatality of Cholera.
By William Farr, Esq., F.S.S.
[Read before the Statistical Society of London, 19th April, 1852.]
Under the Act for the Registration of Births, Deaths, and Marriages, the name, sex, age, and occupation of every person who dies in England—as well as the time, place, and cause of death—are registered. The whole of this system of observation and record was in operation when cholera broke out in 1848. The quarterly abstract of deaths for the whole kingdom, and the London tables which are published weekly, presented notices of its rise, progress, and decline in particular districts. When the epidemic was over, it was deemed desirable to give a complete abstract of the facts. Accordingly a list of every case of death from cholera and diarrhoea, in 1849, was transcribed from the Registration volumes, which, in that year, contained 440,853 deaths. 1,105 persons died of cholera in the last three months of 1848; and 53,293 persons died of the same disease in 1849. Of diarrhoea 1,887 persons died in the same year. The deaths in Scotland and Ireland are at present unknown. The Registrar General published the tabulated facts, and a report on the mortality of all the districts of England in a thick 8vo. volume, illustrated by a map and coloured diagrams.
I propose here to present a digest of one of the most important practical results of that inquiry. I refer to the influence of locality; particularly of elevation of habitation on the diseases and characters of men.
Locality.
By collecting the districts together in which the mortality was high, we find this striking result: that 46,592 of the 53,293 deaths from cholera in the year 1849 occurred in 134 of 623 districts; or in less than a seventh part of the area of England and Wales, among four parts in ten of the population. Only 6,701 deaths took place out of 10 millions of people on 49,228 square miles of territory.
In 85 districts of England and Wales no death from cholera was registered in 1849; not a single death from either cholera or diarrhoea was registered in 12 of those districts.
The only town of any magnitude in the 85 districts is Hereford. The other districts are made up of villages or small towns.
In the county of Hereford only one death from cholera was registered in 1849. This county lies high up the River Wye; the population is scattered, and engaged in agriculture: it is out of the line of railways. The common drink of the people is cider.
A straw-bonnet maker, aged 27, died of cholera in Kirkby Stephen on July 26th, 1849. It was the only death from cholera in Westmoreland.
The 85 districts which escaped the epidemic cholera in 1849, lay in general high, round the sources of rivers, and were thinly peopled. 13 in 208, or 6 per cent, of the districts on the coast escaped, while 72 in 415, or 17 per cent, of the inland districts, enjoyed immunity.
(p. 156)
Mortality from Cholera in the Inland and the Coast Districts
The cholera was three times more fatal on the coast than in the interior of the country. This is shown clearly in the table. 36,241 of the deaths from cholera occurred in the districts lying against the low navigable rivers and the seas; 17,052 in the interior of this circle; and as the population of the coast districts was nearly 7 1/2 millions, and that of the part of the country within this circuit, 10 1/2 millions, the mortality in the coast districts was at the rate of 50, in the inland districts at the rate of 17 in 10,000.
The character of the coast varies; and by a further analysis it is found that the fatality of cholera on the coast was greatest in the chief seaport districts. Thus 26,773, or more than half the deaths in the country from cholera, happened in the districts of or about London, Liverpool, Hull, Bristol, Plymouth, Portsmouth, Southampton, and Tynemouth.
London, having the mixed character of a seaport town and an inland city, may, for the present, be set aside: we have then three groups of coast districts.
The mortality in the great ports was at the rate of 125 in 10,000 inhabitants; in the 125 coast districts with small ports, often inaccessible to ships, the mortality in 10,000 was only 15; which is one eighth part of the mortality in the great, one-third part of the mortality (47) in the secondary ports.
Cholera reigned wherever it found a dense population on the low alluvial soils of rivers, round the estuaries of the Thames, the Humber, the Mersey, the Severn, the Tamar, and their tributary waters.
Certain cities and towns lie on the same rivers at different elevations, and are intimately connected; the one is the port and entrepôt, the other the manufacturing seat and centre of the surrounding country. Liverpool, Manchester, and other districts are thus related. It will be found that cholera prevailed at both extremities of the connecting line; but that it was almost invariably most fatal in the port or district lying lowest down the river.
Two large groups of districts have been thrown together. 1st. The 47 districts on the river and sea margins, which comprise the principal ports except London; and 41 of the large town districts in the interior of the country, seated also on rivers, but nearer their sources, and at higher elevations. The inland districts are more densely peopled than the maritime districts; and the mortality, in ordinary times high in both regions, is highest in the inland towns; yet the cholera in the low sea-side districts destroyed 85 in 10,000 of the inhabitants, while in the inland towns it was fatal to 38 in 10,000 of the inhabitants. The fatality was as 2 1/4 to 1. The metropolis, with its mixed population, experienced in intermediate mortality; 62 in 10,000 of the inhabitants died of cholera. The mortality from cholera in the rest of the kingdom, on smaller streams and higher ground, was at the rate of only 12 in every 10,000 of the 11 millions of the people. It is worthy of observation, that while diarrhoea was fatal to 17 in 10,000 of the people in those districts, it was fatal to 17 or 18 in 10,000 of the people inhabiting each group of the town districts.
From the want of data, we cannot give the exact elevation of the districts; but we have here the facts that while the mortality from cholera was much higher in the three groups of dense town districts, rapidly increasing by the influx of immigrants, than in the rest of the country, the other elements—(1) of depression, (2) of alluvial soil, or (3) of whatever characterises our seaport towns, are of primary importance. In some of the large inland towns the cholera was scarcely at all fatal; the deaths it caused in 1849 in Cambridge were only 5, Colchester 4, Cheltenham 6, Hereford 0, Stafford 3, Birmingham and Aston 35, Leicester 2, Lincoln 7, Nottingham 18, Derby 18. It destroyed 202 lives in Coventry, 116 in Shrewsbury, 174 in York, and 165 in Salisbury; but of the 8,193 deaths from cholera, 3,438 took place in Leeds, Hunslet, Manchester, and S:ilford, which are great towns intimately connected by railways, canals, and roads, with Liverpool and Hull; and 3,047 in Wolverhampton and Merthyr Tydfil. Subtracting the 6,485 deaths from cholera in these 6 districts, 1,708 deaths remain, which represent the deaths from cholera in 35 of the largest inland town-districts of the kingdom.
The low-lying towns on the coast were all attacked by cholera. Scarborough, King’s Lynn, and Deal in the Eastry District, on the coast, enjoyed as much immunity as the inland towns; they were the only considerable towns on the coast that escaped.
(p. 157)
Cardiff is the port of the Merthyr Tydfil district. Situated in the interior, the centre of the great Glamorganshire iron works is about 20 miles from Cardiff, with which the Cardiff Canal, the Taf River, and the roads connect it. Cardiff and Merthyr Tydfil are therefore connected with each other in the same way as the towns previously referred to; but in this respect they differ, that the mortality is greater in the high district than in the low port town.
Cholera attacked the greater part of the districts on the coal-fields of England, and was most fatal in the denser masses of the mining population. Mining operations have, in all times, and in all places, been fatal to man: chiefly in consequence of the negligent habits of the people, and the absence of the health regulations which exist in towns possessing a municipal organization. The ground on the coal formation may have lent the epidemic fatality.
A few scattered cases occurred in the marshy districts of Lincolnshire; but the mortality was inconsiderable, and below the average. The marsh districts in the interior of Cambridgeshire also escaped, down to the Ely district; North Witchford, Whittlesey and Wisbeach suffered. So did some of the marsh districts of Essex and Kent on the estuary of the Thames. In the Romney Marsh district only one death from cholera occurred.
Much information is accessible respecting the districts of London, and during the progress of the epidemic, opportunities were afforded of observing the effects of the varying conditions of place and population on the mortality. The first cases of the epidemic appeared in the heart of the port; and it was noticed at an early period that the mortality was much higher on the south side than on the north side of the Thames. The south side of the river is low and badly drained; and it was deemed desirable to ascertain if possible the state of the sewers and drainage in every district, in order to determine the effects of emanations from the soil.
The Sowers’ Commission had an underground survey in progress, but it was incomplete. The Ordnance Survey supplied the elevation of the different parts, and in the absence of more precise information, it was thought that the elevation would at least furnish a good general notion of the natural drainage of the London districts.
For the investigation of the effects of the Thames, the water-supply, density, wealth or poverty, I must refer to the Report; I proceed at once to the consideration of Elevation.
The elevation of the soil in London has a more constant relation with the mortality from cholera than any other known element. The mortality from cholera is in the inverse ratio of the elevation. The mortality of the 19 highest districts was at the rate of 33 in 10,000, and of the 19 lowest districts 100 in 10,000. The mean elevation in the two groups was as 71 to 10 feet above the high-water mark of the Thames, or as 7 to 1; while the mortality was as 1 to 3, or in the inverse ratio. In the two groups of the 6 districts, supplied with the waters of the Thames at Kew and Hammersmith, the mean elevation was 35 and 175 feet, the mortality from cholera 19 and 11 in 10,000. In the two groups of 12 districts, supplied with the Thames water between tin: Battersea and Waterloo Bridges, the mean elevations were 1/3 foot and 10 feet; the mortality 168 and 77 in 10,000. In the two groups of 20 districts, supplied with the waters of the New River and the Lea, the mean elevation was 24 and 59 1/2 feet; the mortality from cholera was 59 and 37. While the effects of the water and of the wealth of the districts are apparent, they do not, in this analysis, conceal the effects of elevation.
Cholera was excessively fatal in all the four districts which lie on a level with, or below the Trinity high-water mark; it destroyed 144, 161, 164, and 205, in 10,000 inhabitants. In the five districts which lie 2 to 4 feet higher, on an average, the mortality from cholera was at the rate of 68, 97, 120, 153, and 181 in 10,000. Westminster experienced the lowest mortality (68) in the 9 low districts, and it is supplied with water by the Chelsea Company; while all the other districts are supplied by the Lambeth and Southwark Companies. In 10 districts, of an elevation of 50 feet and upwards, the mortality from cholera was at the rate only of 8, 8, 17, 19, 22, 22, 25, 35, 35, and 53. The mortality from cholera was not higher than 35, except in the district of St. Giles, which is an exceptional case: its elevation being 68 feet above the Thames, and the mortality from cholera at the rate of 53 in 10,000. It is a mixed district, and contains, in near proximity, the British Museum, Bedford Square, Russell Square, and Great Russell Street, where no death from cholera occurred; and Church Lane,—a low, damp, dirty lane, generally covered with decaying vegetables, and filled with a wretched population, where thirty deaths from cholera happened, in addition to its quota of 109 patients who from all parts of the district, were sent to, and died from cholera in, the Union workhouse.*
Notwithstanding the disturbance produced by the operation of other causes, the mortality from cholera in London bore a certain constant relation to the elevation of the soil, as is evident when the districts are arranged by groups in the order of their altitude. We place the districts together which are not on an average 20 feet above the Thames, and find that on this bottom of the London basin the mortality was at the average rate of 102 in 10,000: in the second group, at 20 and under 40 feet of elevation, or on the second terrace, the mortality from cholera was at the rate of 65 in 10,000; in the third group, or on the third terrace, 40 to 60 feet high, the mortality from cholera was at the rate of 34 in 10,000; in the fourth group, 60 to 80 feet high, the mortality from cholera was at the rate of 27 in 10,000; in the fifth group, 80 to 100 feet high, the mortality was at the rate of 22 in 10,000; in a district 100 feet high, the mortality was 17 in 10,000; in Hampstead, about 350 feet high, the mortality was 8, or deducting a stranger infected at Wandsworth, but who died there, 7 in 10,000.
By ascending from the bottom to the third terrace, the mortality is reduced from 102 to 34; by ascending to the sixth terrace it is reduced to 17. It will be observed, that the number representing the mortality on the third terrace is one-third of the number 102, representing the mortality on the first; and that the mortality on the sixth terrace is one-sixth part of the mortality on the first. And a series approximating nearly to the numbers representing the mortality from cholera, is obtained by dividing 102 successively by 2, 3, 4, 5, 6.
A comparison of the numbers of this series with the actual mortality experienced in each district, will serve to indicate roughly as much of the effect as is due to elevation; and tho deviations from the scale are generally explained by the other elements of the problem.
* See Report on Church Lane and its vicinage in the Journal (vol. xi, p. 4, 1848,) of the Statistical Society of London. See also, in the same volume, a valuable paper on St. Giles’s district, by Horace Mann, Esq., Barrister-at-Law.
.
The mortality from cholera on the ground under 20 feet high being represented by 1, the relative mortality in each successive terrace is represented by 1/2, 1/3, 1/4, 1/5, 1/6: or the mortality on each successive elevation is 1/2, 2/3, 3/4, 4/5, 5/6, &c. of the mortality on the terrace immediately below it.
The elevation of the five terraces may be represented by 10, 30, 50, 70, 90 feet. The elevations of the two higher districts are 100, and 350 feet. It will be observed that the mortality at 100 feet is 17, at 50 feet 34 in 10,000; consequently at half the elevation the mortality is doubled. The half of 50 feet is 25 feet; and the double of the mortality, 34, is 68. Now observation gives 65 in 10,000 as the mortality at 30 feet of elevation. As the processes of dividing the elevation, and of multiplying the mortality by 2, may be carried on ad infinitum, it is evident that the mortality is not strictly in the inverse ratio of the heights of the soil: otherwise at the elevation 12.5, 6.25, 3.125 feet, the mortality would be 136, 272, 544.*
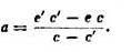
* Let e be any elevation within the observed limits 0 and 350, and c be the average rate of mortality from cholera at that elevation; also let e’ be any higher elevation, and c’ the mortality at that higher elevation. Then if the mortality from cholera is inversely as the elevation, we shall have the proportion
By adding a constant element, at the velocity at which the mortality increases, particularly at the lower elevations, can be retarded to any extent. The equation then assumes the form
The value of a can be most readily obtained by taking e’ = 90, where the mortality was 22; and e = 0, where, in three districts, on a level with the Thames at high water, the mortality was 177 in 10,000 on an average.
From Eq. 1 the value of a in general terms is found to be
Inserting the above numbers, we have
As the series is not perfectly uniform, different values of a are obtained from the formula; and 13 is an intermediate value of a, which has been employed in the construction of the annexed table, by making e successively 0, 5, 10, 15, . . . 110, 150, 200, 250, 300, 350, in the equation—
Upon comparing the numbers of this series with the mean mortality observed in the districts at eight different elevations, it will be observed that the only considerable discrepancy is at the mean elevation (20 — 40) assumed to be 30 feet. The excess of mortality is in Wandsworth, West London, and Bethnal Green.
The houses necessarily raise the people of London above the ground; and if their habitat, day and night, is on an average 13 feet above the ground level, it is evident that the mortality within the limits observed, is in the inverse ratio of the elevations at which the people live. The causes of the discrepancies in particular districts are partly explained by differences in the wealth of the people and other causes which are noticed in the Report.
London Districts, arranged according to the Elevation of their Soil.
(p. 161)
The relation discovered between the elevation of the soil and the mortality from cholera is so important, that it was thought right, after the above calculations were made, to submit the principle to another test, by comparing the elevation and the mortality from cholera of each sub-district. The table in subsequent pages, although it makes the mortality on the lowest level less, and is deranged by the deaths in hospitals and workhouses, entirely confirms the announced law.
Why is the Cholera Fatal in Low Places?
Cholera has not only been most fatal in the low, and least fatal in the high parts of the country, but the fatality has diminished proportionally as the dwellings of the population have been raised above the sea level. The epidemic began and was most fatal in the ports on the coast; and in ascending the rivers step by step, we saw it grow less and less fatal. This made it probable that a certain relation existed between elevation and the power of cholera to destroy life. The more exact information which we possess respecting the London districts establishes this connexion beyond doubt. The relation may not be expressed by the same figures in other places, or in London at other times, but it will always be the general rule that the mortality of cholera is inversely as the elevation of the people assailed above the sealevel.
Mere density of population had not the same direct effect of increasing the mortality in this disease as in others; for in many inland towns, and in high, dense parts of London, the mortality was slight or inconsiderable. Neither does the mortality from cholera vary in the London districts in any ratio of the density. Still density and numbers of people are not to be lost sight of; for the cholera was not fatal to many inhabitants of thinly-peopled, though low and marshy parts; while in such localities it was very fatal in nearly all towns. The law is, that the “mortality in totem of some extent and density is inversely as the elevation.
The wealth of different places differs in amount and distribution. The differences in wealth and poverty probably have an effect on the mortality. But abstracting the indirect effect of the selection of sites and the supply of water, the great differences in the wealth of the London districts do not enable us to detect a very marked or constant influence of this element on the mortality from cholera. In the country at large there is no reason to believe that the wealth of the inhabitants increases as we ascend the high grounds which the cholera left unscathed. The reverse is probably the fact.
Elevation of the land involves several conditions which have an important effect on life and health. As we ascend, the pressure of the atmosphere diminishes, the temperature decreases, the fall of water increases, the vegetation varies, and successive families of plants and animals appear in different zones of elevation. The waters roll along the surface of the rocks, or filter through them and the porous strata of the earth to burst out below—the sources of rivers, or of tributaries which carry disintegrated rocks, with the remains and excretions of vegetables, animals, or men, in every stage of decomposition. The deposits in stagnant places, and at the estuaries, show the kind and quantity of mixed matter which the laden rivers carry down and deposit on the low margins of the sea at the tidal confluences of the fresh and salt waters.
If we take a series of towns on a river it is evident that the refuse matter of the first town will pass through the second; of the first and second through the third; of the first, second, and third, through the fourth; and so on to the lowest town, which will be traversed by all the unevaporated and unwasted organic matter that has found its way into the waters on their way to the ocean. As the transformation of decaying organic matter into inorganic and innoxious elements is constantly going on, it will be in many cases completely decomposed in its course. What has been said of the refuse of towns will apply to the leaves of the forests, and to vegetable remains of all kinds.
As the rivers descend, the fall of their beds often grows less, and the water creeps sluggishly along, or oozes and meanders through the alluvial soil. The drainage of the towns is difficult on the low ground, and the impurities lie on the surface, or filter into the earth. The wells and all the waters are infected. Where the houses are built on hill-sides and elevations, as in London, the sewage of each successive terrace flows through the terrace below it, and the stream widens, the ground becomes more charged, every successive step of the descent, until it is completely saturated in the parts lying below the highwater mark.
The river, the canals, the docks, and the soil of a port may be viewed as a large basin full of an almost infinite variety of organic matters, undergoing infusion and distillation at varying temperatures; and as the aqueous vapour which is given off ascends, it will be impregnated with a quantity of the products of the chemical action going on below, variable in amount, but necessarily greatest in the lowest and foulest parts. The emanations, mixing with the superincumbent atmosphere, ascend like smoke; but at the same time become less and less dense by dilution and by the gradual destructive decomposition.
From an eminence, on summer evenings, when the sun has set, exhalations are often seen rising at the bottoms of valleys, over rivers, wet meadows, or low streets; the thickness of the fog diminishing and disappearing in upper air. The evaporation is most abundant in the day; but so long as the temperature of the air is high, it sustains the vapour in an invisible body, which is, according to common observation, less noxious while penetrated by sunlight and heat, than when the watery vapour has lost its elasticity, and floats about surcharged with organic compounds, in the chill and darkness of night.
The amount of organic matter, then, in the atmosphere we breathe, and in the waters, will differ at different elevations; and the law which regulates its distribution will bear some resemblance to the law regulating the mortality from cholera at the various elevations. It has been seen how rapidly in London the mortality from cholera diminishes a few feet above the low ground on a level with the Thames, while several feet of elevation in higher regions produce no sensible effect. The same thing holds in drainage. The ground on a level with the outlet cannot be drained at all, while a few feet of elevation make drainage practicable, efficient, and easy. And the law holds that while a few feet of elevation are so important near the outlet, they are of little or of no importance on the higher lands of the country. The diagram at page lxv of the Report represents roughly the facilities of drainage, as well as the mortality from cholera at the several elevations.*
It is established by observation that cholera is most fatal in low towns, and in the low parts of London; where, from various causes, the greatest quantity of organic matter is in a state of chemical action; and it may be admitted that cholera, varying in intensity with the quantity, is the result of some change in the chemical action of this matter; leaving it open for further inquiry to determine whether, in England, that change is spontaneous, or the result of the introduction of a zymotic matter from beyond the seas; whether the poison enters the human frame in air or water, through the skin, the mucous membranes, or the air-cells of the lungs.
If the facts are so, it follows, that cholera will not only be fatal on low ground, but on high ground, if, from any concurrence of circumstances, the conditions exist there which are so constantly found in alluvial soils, lying on a level with or below the tidal waters. Now these conditions did exist in nearly every place severely visited by cholera on ground much above the sea-level; in Salisbury, Merthyr Tydfil, Bilston, Newcastle-under-Lyne, and Church-street St. Giles, London.
* See Table relative au Mouvement de l’eau dans les Canaux et Rivieres: iu Lecons de Mecanique Pratique, par A. Morin, 2e Partie Hydraulique, p. 71.
The atmospheric pressure and the temperature diminish with the elevation; and it is easy to conceive that either may exercise considerable influence when the elevation is considerable. The rarity of the atmosphere, or the perpetual snow on the Himalaya and the Alps, may be alleged as the causes why the epidemic never crossed their passes. It has been shown that an elevation of ten feet above the water level diminishes the mortality from cholera very considerably; while a difference of ten feet, at the higher elevation of 100 feet, has little effect on the mortality of that disease. The variations of temperature and of pressure follow laws entirely different, and are too slight at elevations differing only ten feet to be the direct cause of the great difference in the mortality of cholera.
Certain diseases arise when men are crowded together in close dirty gaols, camps, or hospitals; when they inhale morbid exhalations, or are placed in contact with others labouring under such zymotic diseases as small-pox; and when they reside in marshy countries. The explanation of the diffusion of cholera by an organic matter is therefore consonant with what is known of the etiology of other diseases.
In this, as in other zymotic diseases, great multitudes of the people who in one way or other take an average dose of the poison resist its influence: and it may be admitted that the numbers attacked bear some proportion to the quantity of the specific matter in the air, water, or earth of the place where they dwell. This specific matter is known only by its effects; but it has been shown that the deaths from cholera vary in some proportion to the quantity of organic matter in the state so commonly observed in the low parts of low towns. Our generalization then goes to this extent, that the cause of cholera is some chemical modification of organic matter; and here is the great practical fact—that although elevation of habitation, with purity of air and purity of water, does not shut out the cause of cholera, it reduces its effects to insignificance.
Origin of the Cholera Epidemic in the Delta of the Ganges.
Cholera has prevailed in many parts of the civilized world, and has probably not spared unexplored regions of whose barbarous inhabitants little or nothing is known. It appears to have followed everywhere the same general laws; affecting most fatally the low seaports and the cities near the mouths of rivers, and sparing the inhabitants of high grounds around the river sources. The physical circumstances of the country in which cholera first assumed the epidemic form throw great light on the causes of its mortality in other places. India was at the time covered by an intelligent band of army medical officers. They were called upon for returns which were made the basis of official reports, in Bengal by Jameson, a man who like Pringle, Lind, Jackson, Blane, and Martin, had the genius of medical topography; by Scott in Madras, who drew up a judicious and able report on the ravages of the disease in that presidency; by Steuard and Phillips in Bombay. Annesley, Kennedy, and Orton have described and analyzed the disease; Martin has written a medical topography of the country; Colonel Sykes, in the papers which have appeared in this journal, has embodied the later returns; so that the information respecting the origin and history is more complete in respect to this than to any other great epidemic.
The Indian epidemic began in the Delta of the Ganges. Mr. Orton thus sums up the evidence of the Reports :—” The epidemic had not one but various local sources in the level and alluvial, the marshy and jungly tract of country which forms the Delta of the Ganges, and extends from thence to the Burrampooter. For hero we find it as early as June and the beginning of July, 1817, noticed as prevailing to a serious extent in Nuddea, a province which is stated to be notorious for the disease in its endemic form, and in Dacca.” “Jessore, the place in which the disorder first put on a very malignant form, is,” says Jameson, ” a crowded, dirty, ill ventilated town, surrounded by a thick jungle, and in the rains by an immense quantity of stagnant water. * * In Sylhet the influence of situation was perhaps more remarkable than in any other quarter. * * It appeared that the villages in which it raged most extensively were considered by the natives as comparatively unhealthy and obnoxious to fevers of the intermittent type; being exposed to the effluvia arising from marshes and extensive lakes, in which the Zila abounds, particularly towards the south-west division, where the greatest number of victims fell. The Sepoy lines, on the contrary, being placed from sixty to a hundred feet above the general level of the country, had scarcely any cases excepting such as occurred in persons on guard at the different outposts.
“In Calcutta, again, the disease was, from first to last, most prevalent in the lower parts of the town and suburbs, as the Bura Bazar, Simeleia, Dyahutta, and Suwah Bazar; and in the suburbs, the villages of Khidderpore, Bhuwanipore, Manicktolla, Kurrya, Entally, Chitpore, and Sealdah.
“These dependencies are everywhere intersected by pools, broad ditches, and channels, which, being imperfectly drained, are in the rainy season always full of stagnant water and rank weeds.
“From this plentiful source of corruption, foul air is constantly given forth; and as all ventilation is obstructed by large groves of trees and vegetation of every description, it is there concentrated until it becomes entirely unfit for the purposes of respiration.
“The miserable condition of the generality of the inhabitants of these villages is hardly to be imagined. Each hamlet is made up of many mud or straw huts, generally from six to twelve feet square, placed so close to each other as to leave scarcely room to pass between. In every one of these wretched hovels a whole family, sometimes consisting of six or eight persons, resides; and, not unfrequently, cows, pigs, and other domestic animals, add to the filth and foul atmosphere in which they abound. The singularity is not that persons so situated should be more than others subject to tho influence of a prevailing epidemic, but that they should ever be free from maladies of this description.
“The higher classes of natives, and Europeans generally, inhabiting the better raised and more airy parts of the town, suffered proportionably less than the lower ranks.”* Such was the condition of a large part of the dense population in the birthplace of cholera. The returns of the mortality among the natives are very imperfect; but they show
* Report on Epidemic Cholera Morbus in the Presidency of Bengal, in the years 1817-18-19, by James Jameson, Esq.
that while many thousands perished in Calcutta and the districts on the Ganges as far as Allahahad, the casualties higher up the river were “comparatively fewer: in Agra the deaths did not exceed 10 daily, although the town contained 30,000 people. Not 500 in all died in Muttra; and about a like number died in the immense city of Delhi.”
Mr. Jameson and Mr. Scott give other examples of towns and camps on low grounds suffering severely, and of elevated spots escaping with little loss; they also cite, exceptionally, instances of camps and cities on high grounds suffering attacks of great severity, or of high places escaping for a time and being assailed in after years. The early Indian returns of mortality were imperfect, and often incorrect: the relative elevation is rarely stated; it is impossible, therefore, to determine how far the law deduced from the English returns regulates the Indian observation?. The general result is summed up by Mr. Jameson in words as precise as the observations justified :—”There is abundant proof that in high, dry, and generally salubrious spots, it was both less frequent in its appearance and less general and fatal in its attacks than in those that were low and manifestly unwholesome.”
The Great Pestilences of the present day are all most fatal in Low Places
The influence of elevation, if not as obvious in other zymotic diseases as it is in cholera, is equally important, for they are all governed by similar laws.
Ague and Remittent Fever.—The marsh-fever, of the intermittent, remittent, and continued form, exists in parts of England, and of almost every kingdom of the world.
The fever of the Mediterranean appears to be a milder form of the remittent of the tropics. Its type is well seen in the Tuscan Maremma, which has been recently described by A. Salvagnoli Marchetti, in two Reports published by the Grand Duke of Tuscany.*
The Tuscan Maremma lies along the Mediterranean: commencing at San Vicenzio, it extends to the river Chiarone on the borders of the Papal States. It is chiefly in the province of Grosseto, and comprises a considerable territory of mountain, hill, and beautiful plain. A map accompanies the Reports, and shows, by a yellow colour, the parts in which malaria prevails; by a red colour the parts where the malaria is less pernicious. The yellow colour stretches from ten to sixteen miles into the interior, over the low plains traversed by the waters, and the red colour runs higher up the rivers Cornio, Ombronc, and Albegna. The high land round the river sources, even where it approaches the coast, is white, healthy, untouched, except in a few exceptional eases. The insalubrity is at its maximum in the plains, slight among the hills, inappreciable in the mountains. Ten towns and castles are mentioned that are abandoned by the greater part of the inhabitants every summer. Some are far from the sea, some far from the marshes. Montepescali is 760 feet above the level of the sea, Capalbio is still higher, and Sovana is as high as 1,012 feet. The malaria is felt, in some cases, as high as 1,400 or 2,000 feet; it never arrives at Montorsajo, 2,500 feet (1,217 braccia) above the sea. Dr. Marchetti notices that the blood of the inhabitants of the Maremma is changed: all the
* Statistica Medica delle Maremme Toscane, 1840-41-42-43-44. Firenze, 1844.
physicians, he says, who have attentively examined it, are struck by the character it presents, which is so constant and striking that by the blood alone you can distinguish the patient living habitually on a malarious soil from a person residing in a healthy country. A chemical analysis, by Professor Cozzi, shows a deficiency of fibrine, albumen, fatty matter, and phosphates, and an appreciable quantity of cholesterine. Nutrition is feeble, digestion bad, the liver disordered, the spleen swollen, respiration weak; the heart is flaccid and beats feebly. The countenance is of a palish sallow tint, as in a chlorotic girl, or yellow, as in jaundice. The muscular movements are languid, bodily exercise fatiguing. Sensibility is diminished. Strangers in the malaria speedily feel its effects; they undergo a great change, and soon acquire the constitution of the inhabitants of the Maremma. The agriculture of the Maremma is in the rudest state, the dwellings are miserable, and there is no industrial manufacture. Such is the effect of the low lands of Italy on the population, not only of the Tuscan Maremma but of the Pontine Marshes and all the other depressed parts of the Mediterranean coast. The land of the coast of the Adriatic is traversed by rapid rivers, and it is comparatively salubrious, except at Ravenna, where the Apennines retreat from the sea.
Yellow Fever is also generated in and almost confined to lands of low elevation. The Delta of the Mississippi, in the Gulf of Mexico, is its great centre.
“Pres de la Vera Cruz,” writes Humboldt, “la ferme de l’Encero, que j’ai trouvée élevée de 928 mètres au-dessus du niveau de l’océan, est la limite supérieure du vomito. Nous avons déjà observé plus haut, que c’est jusque là sculement que descendent les chênes Mexicains, qui ne peuvent plus végéter dans une chaleur propre a développer le germe de La fièvre jaune.”*
Vera Cruz lies on the coast, against the island of San Juan de Ulloa. The merchants have country houses in Xalapa, at an elevation of 1,320 metres above the ocean, where they enjoy the fresh air, fine views, and clear sky; while the musquitoes, the heat, and the yellow fever plague the people below. The wind blows north, and a fog hangs over the Xalapa in winter; the sun and stars are covered for two or three weeks together. But this does not bring the fever.
The yellow fever does not extend its ravages in the epidemic form beyond the 46th degree of north latitude. New Orleans, Charlestown, Baltimore, Philadelphia, New York, Boston, and the low cities and ports on the coast of America, have all been visited by this pestilence; but its violence diminishes in the northern latitudes, and everywhere fades away in the high inland cities. In the Mediterranean, it has several times assailed Spain, appearing first, and committing its greatest ravages in Cadiz, Seville, Malaga, Carthagena, Barcelona, and the other ports, radiating into the interior with diminished violence, and proving but rarely fatal on such high places as Gibraltar. In Catalonia, as in the “West Indies, it enters with extreme difficulty elevated, airy localities; in the words of M. Pariset and his colleagues, passionate contagionists:—” Elle aime les bords de la mer et des fleuves; et, chose étrange, elle attaque indiffer6inent les populations qui occuppent
* Essai politique sur le Royaume de la Nouvelle Espagne, tome ii., p. 771 Humboldt.
les Heux Bains, comme celles qui resident sur un sol insalubre.” It attacks low places reputed healthy, and in that respect resembles cholera; but the documents of the French physicians throw no light on its relative mortality in high and low localities.*
The “West Indies and the West Coast of Africa in the tropics arc decimated by a deadly remittent fever which is closely allied to yellow fever. Lind, in the last century, after a comprehensive survey of the facts, observed that “not only continents, but most large islands in every quarter of the world, have ridges of high mountains, where the air proves healthy to European constitutions; even in the smaller islands, such a retreat can generally be found.”† He strongly urged the Europeans in Jamaica to reside in temperate and pleasant situations on the sides of the mountains, where the ground is cleared from wood, and has no stagnating water upon or near its surface; where the soil is rich and fertile, favourable to the cultivation of European plants, and to the health of European animals.
Notwithstanding Lind’s representations, “the principal West India towns, and the garrisons for the troops, are situated on the leeward shores of the country, at the bottom of the deepest bays that can be found, as a protection to their trade against the winds from the sea. The soil must consequently be alluvial, and is often marshy. * * * Their elevation is little above the level of the sea. * * * The settlements of the planters, in like manner, are formed, not on the elevated mountain-ridge, from which the periodical rains have washed away the soil, but in the alluvial ground beneath. * * * Ague is not a common production in the hot low land, on or near the level of the sea, where alone the yellow fever is found.” ‡These low towns and plantations, which were the resort of yellow fever, have since been ravaged by cholera; the intensity of the disease has shown how constantly, and in what variable circumstances, the law of elevation operates. Mr. Parkin, who was on the spot, states that the epidemic also ascended the hills; but he has not the means of giving the mortality at different elevations.
How the low alluvial shores of the West Coast of Africa, and of the rivers near the coast, are infested by the fever, is well known. The fatality of the Niger expeditions, and the mortality in ships and forts on the coast of Africa, are also well known, and have been well described by Boyle, Mc William, Tulloch, and Balfour, in the valuable army and navy returns, and in other official reports.
Plague.—Like cholera, yellow fever, and remittent fever, the glandular plague is now generated, and prevails in Lower Egypt on alluvial ground; and it has a limited range of elevation. It is endemic in the Delta of the Nile, and periodically decimates the population of Cairo and Alexandria. It ascends the Nile, but never, says the reporter of the French Commission, passes the first cataract. It is unknown in Arabia, Nubia, Sennaar, Abyssinia,—the former hot
* Histoire Médicale de la fièvre jaune observée en Espagne et particulièrement en Catalogue dans l’année 1821, par Bally, Francois, Pariset, pp. 540, 542-44.
† Diseases incidental to Europeans in Hot Climates, by James Lind, M.D., 4th edition, 1788, pp. 200-5, 209, 210-16.
‡Dr.Ferguson on the Locale of the Yellow Fever, in Johnson and Martin on Tropical Climates, pp. 493-95.
countries, the latter temperate, mountainous, inclining, free from marshes. Arabia, traversed by pilgrims from every part of the Mahomedan world, escaped unscathed in the great plagues of 1825 and 1835, which ravaged a part of Lower Egypt; and Arabia has, from time immemorial, been plagueless. The statement of the Commission is substantially true; but it would be more correct to state that the plague grows gradually less fatal up the Nile, and that it is less frequent and destructive in Upper than in Lower Egypt—in the high lands and in the desert than on the low lands on the shores of the Mediterranean. The plague of 1835 penetrated Said, Upper Egypt, and in the city of Siout destroyed more than 13,000 people.*
The plague is mo9t fatal in the parts of Lower Egypt near the Nile and the great canals. Almost all the villages on the banks of the Nile, on the road to Fayoum, were attacked in the epidemic of 1841; travellers and merchandize arrived there every day from the infected parts, and two of the travellers were attacked in Fayoum, but tho population of the province escaped. Fayoum offers a striking contrast to Damietta, where the plague is most destructive. Fayoum (says Dr. Rossi) is raised above the level of the sea, and surrounded by the Desert of Libya, hot, but dry, without marshes; the cemeteries are at a distance from the habitations of the people; the water, without being delicious, may be drunk without inconvenience, on account of the nitre which it holds in solution. Damietta, at the mouth of the Nile, touches the sea; it is surrounded by fresh and salt water marshes; the air is hot and humid; the cemeteries are in the heart of the city; the fresh is mixed with salt water, or soiled by excremential products and animal and vegetable matters in putrefaction. While Suez, a low port, surrounded by stagnant water, was attacked in 1835, Cosseir, built on rocks, and surrounded by arid mountains, escaped, although it obtained its provision from Keneh, where the plague broke out nearly as soon as at Cairo. Desgenettes and Clot Bey agree, that while Cairo itself is ravaged by plague, the citadel on high ground is invariably spared. Cairo, containing now about 200,000 inhabitants, is in a sandy plain at the foot of a mountain, “which, by keeping off the winds that would refresh the air, makes the heat very stifling. Through the midst of it passes the Great Canal,” into which the sewers are discharged, over carrion, excreta, and mud. At the yearly overflow of the Nile, its waters filling this canal are distributed over the city, and drunk by the wretched inhabitants. Under the hot sun evaporation goes on; the bed of the canal is exposed; the water, stinking and black, sends up mephitic exhalations, which produce headache and sickness. The water of Lower Egypt is generally bad. Alexandria lies lower than Cairo; with the lakes near, and the infectious shores of its two ports, the stagnant waters in the cisterns and the streets, its numerous villages of small huts constructed of earth, without any opening but the door, raised scarcely three feet from the ground, and sheltering every night numberless families of sailors and dockyard labourers: it is the home of the plague. All over the Delta, the poor Egyptian constructs his house, or rather den, of mud; it is
* Rapport a l’Académie Royale de Médicine sur la Peste et les Quarantaines, fait au nom d’une Commission, par M. Le Dr. Prus, Accompagné de Pièces et Documens, et suivi de la Discussion dans le sein de 1’Académie, 1846.
low, dark, damp, and filthy. The full grave of the family is often under the floor. The clothing and food of the fellah is of the lowest description; he is subject to the most debasing oppression.
Constantinople is another centre of the plague, and the circumstances in which it springs up are not very different. The most fatal quarters lie along the port, or in the dirty wretched villages on the European shore of the Bosphorus. The plagues of 1831 and 1834 first appeared in San Dimitri, a village separated from the Fera by a small stream, polluted by the impurities of the places on its margin. A village on mount Alem Dagh, 500 metres above the level of the sea, always enjoys immunity, while the plague is raging below; to this place of refuge the inhabitants of the capital resort. The plague reaches a village lower down the Alem Dagh.
The plague still ravages periodically the population in the lower part of the basin of the Danube.
Syria has four regions: the first, a warm, moist valley, lying along the coast; the second, hilly and rough, colder and healthier; the third, dry and hot, facing the east; the fourth, the depressed valley of the Jordan. The plague is endemic (says Larrey) on the coast of Syria. It committed, in the epidemic which he observed, great ravages in Gaza, Jaffa, St. Jean-d’Arce, and did not spare the Arabs of the Desert in the vicinity of the sea. It was scarcely felt in the villages of the mountains of Nablous and Canaan, but reigned in low marshy spots and places on the coast. The epidemic usually breaks out first in Antioch, Tripoli, Beyrout, Tyre, and Jaffa, whence it spreads to Jerusalem, Nazareth, and other higher towns or villages in the interior, with a diminishing mortality. The plague appears also on the Euphrates and the Tigris. In 1831, it broke out in Bagdad with terrible violence, destroyed half of the population, and left whole streets dispeopled. Bouchir and Bassora, above the Delta, on the Persian Gulf, suffered severely. Erzcroum, near the source of the Euphrates, high among the mountains of Armenia, is held by Dr. Prus to be one of the endemic sources of the oriental plague. This city is quite in an exceptional state. The documents show that there plague is periodically epidemic.
Venice and Marseilles are, after Constantinople, the cities that have last and most severely suffered from plague. The lazaretto was first established in Venice (1403), and is still maintained with much rigour in Marseilles. Venice is low on the lagoons, and is traversed by canals, which have all the offensive qualities of open sewers. Marseilles lies near a great marsh, and is surrounded by hills.
It will be recollected that the Black Death of the fourteenth century first broke out in Southampton, and was, like the plagues of the seventeenth century, excessively fatal in London. This large undrained city and frequented port, inundated with impurities, in the sixteenth and seventeenth centuries was infested by plague.
Salubrity of High Places
The four great pestilential diseases—cholera, yellow fever, remittent fever, and plague—have this property in common; that they begin and are most fatal on low ground; that their fatality diminishes in ascending the rivers, and is inconsiderable around the river-sources, except under such peculiar circumstances as are met with at Erzeroum, where the features of a marshy sea-side city are seen at the foot of the mountain-chain of Ararat. Safety is found in flight to the hills and to the desert, or in the removal of ships from infected ports to the open sea. Large masses of men—armies, pilgrims, or sailors in foul ships— often carry the epidemic with them to unhealthy places.
The people living on land of a certain elevation above the plains are not only safe from the attacks of cholera, remittent fever, yellow fever, and plague, but they are in a remarkable degree exempt from other maladies. Their functions are healthy, and their faculties are energetically developed. They present the finest types of the human race. This is evident not only in Cashmere, Georgia, and Circassia, but in all the hill-tribes of India. The miserable natives of the Sunderbunds are below them in all the characteristic attributes of man. The Arabs and Abyssinians too, on the elevated lands of the desert, and on the sides of the mountains from which the Nile descends, present a striking superiority over the people of Lower Egypt; their fiery life, love of liberty, and warlike genius, place them immeasurably above the Fellahs. And it is not the air of the sea that deteriorates the race, for the sea as it restores health also sustains a seafaring people; and islanders generally, whether in the Pacific, the Mediterranean, or the Atlantic, are above the standard type of the people on low rivers, and on the low coasts of continents. In Venice and Holland the sea appears for a long time to have counteracted the degrading influences of low alluvial lands on fine original races.
The people bred on marshy coasts and low river margins, where pestilence is generated, live sordidly, without liberty, without poetry, without virtue, without science. They neither invent nor practise the arts; they possess neither hospitals, nor castles, nor habitations fit to dwell in; neither farms, freeholds, nor workshops. They are conquered and oppressed by successive tribes of the stronger races, and appear to be incapable of any form of society except that in which they are slaves. Strangers no sooner set foot or attempt to settle on the soil than the endemic terror attacks them as if to bid them Begone! and if they remain, their institutions, palaces, and monuments, fall into ruins, as the generations degenerate.
The ancients were well aware of the salubrity of islands and of the high lands; on which the chief temples of AEsculapins (‘ Aσκληπіеrα) were erected. The temples of Cos and Delos were on islands. The temple of Las was on the summit of Mount Ilium near the Gulf of Laconia; at a short distance flowed tho pure and salutary waters of the Smenus. The temple of Megalopolis in Arcadia was on the eastern brow of the mountain in a sacred grove; for the temples were sometimes sheltered from malaria by trees, and sometimes surrounded by gardens and consecrated ground on which no building could be erected. The temple of Cyllene, in Elis, was near the sea; but it was on Cape Hyrminius. Epidaurus, also on the sea-coast, was surrounded by wood-crowned hills. The temples of Hygeia at AEgium, of AEsculapius at Corona near the Gulf of Messena, and at Pergamus, were near springs of pure water, or the sources of streams. The Greek temples of health were away from the cities, isolated, near pure waters, on sweet, elevated places. Hippocrates has sketched, with the hand of a master, the effects of high and low land, of good and bad water, on the diseases, energies, character, and intellect of men.
The site of ancient Rome, on hills of nearly the same elevation as the high parts of London, was as happily chosen to secure the health as the defence of the Roman people. The Campagna extends from the Tiber southward along the coast for CO miles, and inland as far as the first slopes of the Apennines. In the vicinity of the coast the land is low and swampy, but the remainder of the country—the great nursery of the Roman people—is a vast expanse of table land seldom less than 100 feet above the level of the sea, and for the most part perfectly dry. In the midst of the plain the isolated mass of the Allian hills “divides the Campagna Proper from the deadly level of the Pontine marshes.” About 18 miles from the mouth of the Tiber, the stream sweeps round an alluvial meadow containing upwards of 300 English acres. This is the Campus Martius, from which a steep bank rises abruptly and then slopes gradually into the table land, which forms the general surface of the country beyond. The projecting bluffs of the bank, separated from each other and from the main ridge by deep hollows, stand as small isolated hills with steep rocky escarpments, and are the Capitoline, Palatine, and Aventine hills; the Coelian lies south-east of the Palatine. Another ridge throws out the Esquiline, Viminal, and Quirinal. The Janiculum and the Vatican noted for its insalubrity, ate on the right bank of the Tiber. The Insula Tiberina is in the centre of the river, against the base of the Capitoline. The Tiber at Rome is 33 feet above the sea-level; the summits of the hills range from 117 feet to 154 feet above the ordinary level of the Tiber. The Saburra, in the hollow between the Esquiline and the Quirinal, was one of the most busy and thickly peopled quarters of the city, but the public buildings and the habitations of the Roman people in the most glorious period of their history, were on the seven hills. The site of the city, as well as the great Aqueducts and Cloaca Maxima, evince an exquisite perception of the conditions on which warlike tribes might retain martial vigour in an Eternal City. Non sine causa, Dii hominesque hunc Urbi condendae locum elegerunt, Salubehrrimos colles, fiumen opportunum, quo ex mediterraneis locis fruges devehantur, quo maritimi commeatus accipiantur: mare vicinum ad commoditates, nec expositum nimia propinquitate ad pericula classium externarum: regionum Italiae medium ad incrementum Urbis natum unicè locum.* Posted upon the hills, they, in the infancy of the state, subjugated the earth beneath by vast subterranean drains; and gradually brought distant springs underground and in aqueducts to supply the citizens with pure water.
The chief Roman encampments of which traces remain in England, were on the Malvern Hills, the Cotswold Hills, and other high spots, which, even when the country was undrained, must have been healthy. Roman London was on a hill; the Westminster of the monks in a swamp, as Peterborough and other monasteries “were, probably for
* Oration of F. Camillus, in which he dissuades the people from abandoning the city after it was burnt by the Gauls.—Livy, Dec. I., lib. v., cap. 30.—Vitruvius thus closes an culogium of the site of the city :—” Ita Divina Mens civitatem populi Romani, egregiâ temperatâque regione collocavit, uti orbis terrarum imperio potiretur.”
protection from the Northmen and marauders. Many monasteries and priories wore on fine sites.
The military posts most easily defended in ancient times against an enemy are the best defences against epidemics; and with the regularity of a general law, the first cities, castles, and temples, were on high places.
The modem Romans, remarkably enough, inhabit the low alluvial ground (Campus Martius) which the Tiber embraces as the Thames does Southwark, and the low ground on the opposite bank of the river. The Quirinal and a part of the Capitoline are still covered with habitations; the Palatine, the Esquiline, the Coelian, and the Aventine, are deserted; the bells of conventual buildings alone disturb the silence reigning in the waste among the crumbling ruins and vineyards.* Lancisi has traced the history of the great city through all its vicissitudes, until it was deserted by the Roman pontiffs, and its population had dwindled down to 33,000; but he leaves it uncertain when the people descended from the hills.† Leo X., who filled the city with strangers, suffered his new colonists to build on the Campus Martius; and the other low grounds were occupied although the houses were infested by the inundations of the Tiber. “Tiberinis alluvionibus incolas humilium Urbis regionum saepe diuturnis, saepe etiam saevioribus aegritudinibus laborasse, luculentius ipsa plebis clades, et luctus testatur, quam ut ab auctoritate, vel ratione testimonia repetamus,” says Lancisi, writing in 1710. Cholera, in four months—July, August, September, and October, 1837—destroyed 5419 of these fallen people, who did not exceed 156,000 in number.
As the power of the Egyptians descended from the Thebaid to Memphis, from Memphis to Sais, they gradually degenerated; notwithstanding the elevation of their towns above the high waters of the Nile, their hygienic laws, and the hydrographical and other great sanatory arrangements which made the country renowned, justly or unjustly, for its salubrity, in the days of Herodotus. The poison of the Delta, in every time of weakness and successful invasion, gradually gained the ascendency; and as the cities declined, the canals and the embalmments of the dead were neglected,—the plague gained ground. The people, subjugated by Persians, Greeks, Romans, Turks, Mamelukes, became what they have been for centuries, and what they are in the present day. Every race that settled in the Delta degenerated, and was only sustained by immigration. So likewise the populations on the sites of all the city-states of antiquity on the coast of Syria, Asia Minor, Africa, Italy, seated like the people of Rome on low ground, under the ruin-clad hills of their ancestors, within reach of
* Rome Illustrated, H. Noel Humphreys, pp. 23-24.
† See in Roman Antiquities, by W. Ramsay, 1851, an admirable digest of the researches of Bunsen and others in their Beschreibung der Rom. See also the fine piece of Medical Topography, by Lancisi, Dissertatio de nativis, deque adventitiis Romani coeli qualitutibus.—Opera, 1718. Niebuhr says that “Rome has now no right to its name; it is an entirely foreign vegetation that has grown upon a part of the old soil, as insignificant and thoroughly modern in its style as possible, without nationality and without history. * * * Science is utterly extinct here. * * * The people are apathetic; and truly, if ever they were remarkable in any way for personal appearance, they must have strangely altered.”—Life and Letters of Niebhur, by Buwsen, Brandis, and Loebell.
fever and plague—are enervated and debased apparently beyond redemption. The history of the nations on the Mediterranean, on the plains of the Euphrates and Tigris, the deltas of the Indus and the Ganges, and the rivers of China, exhibits this great fact—the gradual descent of races from the high lands, their establishment on the coasts in cities sustained and refreshed for a season by immigration from the interior; their degradation in successive generations under the influence of the unhealthy earth, and their final ruin, effacement, or subjugation by new races of conquerors. The causes that destroy individual men, lay cities waste which in their nature are immortal, and silently undermine eternal empires.
It is unlikely that man should be left exclusively to the guidance either of calculation or experience in matters of so much importance as the character, vigour, health, and existence of race. An instinctive sense draws him to the healthy places of the earth, and makes the lands in which his race dies and is degraded, repulsive. In dank marshes surrounded by stagnant waters, and in hollow places of the earth covered with reptiles, we feel oppressed; on the plain, where the breezes sweep over the herbage, the mind as well as the body is at ease; and as we ascend the uplands of England, pass large flourishing trees by fresh waters, or mounting still higher, see the living springs burst from the earth; the hills covered with heather, the woods, fields, and plains stretched out in endless undulations below—the chest expands in the elastic air, and the soul seems to drink in deeper draughts of Life. On the high lands men feel the loftiest emotions. Every tradition places their origin there. The first nations worshipped there. High on the Indian Caucasus, on Olympus, and on other lofty mountains, the Indians and Greeks imagined the abodes of their highest gods; while they peopled the low underground regions, the grave-land of mortality, with infernal deities. These myths have a deep signification. Man feels his immortality in the hills.
The effect of high and low land is as real, but not so obvious, in England as it is in the tropics. The Saxons and the Northmen came to these islands in ships, and their descendants retain an inextinguishable passion for the sea. In summer and in seasons of sickness English families fly to the sea -side; in the winter they resort to warm, sheltered spots in the south of England or on the western coast. The boatmen, fishermen, and seamen are generally a hardy, adventurous race. The coast is in many parts precipitous, and the high districts are healthy. In the low, marshy tracts along the southern and eastern coast and the estuaries of rivers, the health of the people is depressed. Around the Wash the mortality approaches that of the Tuscan Maremma. The Atlantic has, however, some sanatory as well as commercial advantages over the tideless Mediterranean.
The extensive observations which have been collected under the Registration Act, and the calculations in the report, show indisputably that the elevation of the soil exercises as decided an influence on the English race as it does on the native races of other climates and soils.
The great, striking, practical fact which the Inquiry into the Mortality of Cholera in England has elicited, is the influence of slight degrees of elevation. In the vast population of London, it is rendered evident. In the part of the parish of Lambeth near the level of the Thames, the cholera, in 10,000 inhabitants, destroyed 163; at Kennington, 8 feet high, 90; at Brixton, 56 feet high, 55; and, finally, in Norwood, the highest sub-district of the parish, where the inhabitants are at least 128 feet above the river, only 5 in 10,000, and this was not accidental. Elevation within these moderate limits operated with the regularity of a general law; and the influence of elevation has been felt all over the kingdom. Everywhere the low cities have suffered.
Besides the trial which the population has gone through in the epidemic of the world, there is another test of health—the longevity of the inhabitants of various places, and the rate of mortality experienced from ordinary causes, and home epidemics. The hundred diseases which afflict, derange, and destroy the frame of man, acknowledge various causes; camps and cities suffer certainly on low ground from one train of diseases; in high localities, starvation, density, impurities, generate other maladies which are not less certainly fatal. The mortality of a dense, dirty city, on a hill, seated on cesspools, and ill supplied with water, may be higher than the mortality of an open town on the margin of low marshes; but the other conditions being equal, the mortality in the long run will be greatest in the low situation. The causes which make cholera, plague, remittent fever, yellow fever, periodically fatal, are always in operation, and furnish their daily quota to the hospital, the sick chamber, and the grave. Accordingly we find, on reverting to the Tables of Mortality, for the seven years 1838-44, that, as a general rule, the mortality declines as we ascend the rivers. The majority of the healthy districts are at a certain elevation above the sea.
Such is the variety of the soil of England, that, tested by the rates of mortality—the children reared out of a given number born—the longevity of the inhabitants—the freedom from common epidemics— or the immunity from cholera, healthy districts are found in nearly every county. Large tracts of country are, however, so much healthier than the rest, that they may be justly called Salubrious Fields; and it is remarkable that here the finest races of animals are bred. The north districts of Northumberland around the beautiful Cheviot hills, covered with grasses, ferns, wild thyme, extending from the region of the heaths to the rich cultivated land at their bases, touching each other, or intersected by narrow valleys; the districts extending from the Tees over the North and East Ridings of York to Leicestershire, Herefordshire, and parts of Shropshire; some of the districts of Gloucestershire about the Cotswold hills; parts of Wales; North Devon, including Dartmoor and Exmoor; the Surrey and Sussex hills, with the Southdowns; have given names to the best breeds of sheep, fowls, cattle, and horses, in the kingdom. The Old Lincoln and the Romney Marsh breeds of sheep attained a large size in the rich pastures of the drained fens; but they have either altogether given way to the other breeds, or been modified by the blood of other races. The immense dray-horse of London is bred in the fens of Lincolnshire and Cambridgeshire; he is massive and powerful, but is slow, without mettle, without action; he does not step out, and is unanimated by the fire of the better breeds. The mountain races of horses, cattle, and sheep, are small, for the herbage is scanty, but they are hardy, energetic, and intelligent; their bulk augments on richer pastures, and appears, with the loss of some of the higher qualities, to attain its maximum in the drained fen land. The horse, which, in Arabia, Barbary, Persia, and England, attains so high a development, is said to degenerate on the low coasts of Africa and Asia; but we have no means of tracing the certain degeneration on unhealthy soils either of these animals, of oxen, or of sheep, in England. All that is well known is the improvement in healthy districts, and the fatal effects of marshes and of the unhealthy atmosphere of towns on the higher classes of animals.*
The dry and most inland are not always the healthiest regions of the country. The salubrious fields are sometimes watered by running streams, and diversified by lakes; the dew is abundant; they are often veiled, not by infectious fogs, but by mists drawn from the sky as it breathes over them; the mountains rise over; the ocean rolls at the distance below them, as on the coast of Sussex, North Devon, the western region of Wales, extending under Snowdon and Cader Idris in a vast amphitheatre round Cardigan Bay; the lake-land and moors of the North, rising between the Irish Sea and the German Ocean. The land is sometimes healthy, but may be covered by the sweetest herbage, and bees feeding on the flowers; the cereal grains, the hop, the timber, are often of the finest quality; the animals are healthy, the native breeds are vigorous; and those fine varieties are produced at intervals, which men of the genius of Bakewell, Ellman, Tomkins, Colling, and O’Kelly, make the permanent stock of the country. Industry and the army receive their best recruits from the population, while they get their worst from the people of the low parts of sickly towns. Agriculture has reclaimed many unhealthy districts on the plains, so that a considerable extent of the cultivated land is now in a state of comparative salubrity; and vast systems of drainage have subdued the noxious fens, although carried out less efficiently than is desirable, and interfered with by milldams on the rivers, descending like the Nene, from the inland highlands.
The population is never uniformly distributed over a country*. The soil is washed down into the valleys, and is followed by a fertile vegetation, which supplies animals, and finally man, with food. The places of resort for the performance of public acts, and for the interchange of commodities, have usually a central situation, easily accessible along level roads, where water is abundant; accordingly, almost all inland towns of any magnitude are on rivers; and as the commerce by sea increases, the population is brought down to the coast, or to the point up to which the river is navigable by large vessels. The seaport towns are frequently near the deltas of rivers on low coasts; and higher up the rivers, a large part of the people are often so insensible, that they sink or settle on the lowest ground, to avoid the labour and expense of living on the better sites which are in the neighbourhood. Canals have also had a tendency to draw the population down to low towns on their banks.
The population of England increased slowly in the seventeenth and in the first half of the eighteenth century. The towns and seaports
* The Domesticated Animals of the British Islands, by David Low, Esq., Prof, of Agriculture, Univ. Edinburgh, 1845.—Journal of the Royal Agricultural Society of England, vol. ix.,—Prize Essay On Farm Horses, by W. C. Spooner, p. 249; and Prize Essay On Cattle, by Hall W. Keary, p. 425.
were not then places of great magnitude, and their population was sustained by immigrants from the country—the high nursing-grounds of the kingdom. 11 The supply of London alone,” says Davenant, from King’s observations, “takes up above half the neat increase of the kingdom.” The burials greatly exceeded the christenings in London, and it is probable that of the whole population of England only an insignificant portion was born in the low parts of towns and ports. The great increase of the town population in the present century is chiefly due to immigration, which has not only sustained the old proportion of the population, but has introduced a great excess of healthy life from the high inlands. The result is, that a large proportion of the population of England is now in the low seaports, manufacturing towns, and cities. The population in 117 districts, comprising the chief towns, was 6,612,958 in 1841, and 7,795,882 in 1851; the population in 506 districts, comprising chiefly small towns and country parishes, was 9,301,190 in 1841, and 10,126,886 in 1851. A large proportion of the next generation of Englishmen will consequently be born in town districts, some of which are high and healthy, while others, low, insalubrious, subject to inundations and to the incursions of cholera, present many of the circumstances in which a degradation of race is inevitable. So, while the drainage of the marshes, the cultivation of the soil, the sanatory measures in the old towns, and the diffusion of education have tended to promote the amelioration of the English race; the descent of the population to the low places, which have in the last ten years increased twice as fast (2 per cent, per annum) as the healthy parts—the sudden growth of large mining and manufacturing places left und rained, ill-cleansed—the liberation of multiplying vagabonds and criminals, who were in the old times transported, cruelly destroyed by jail-fever, or hanged, have had a tendency to increase the proportion of deteriorated organizations. Idiots and lunatics, who are no longer plunged in cells for a short life, and other persons labouring under hereditary diseases, are also increasing, probably from a similar cause. In addition to the inhabitants of the old towns, which have always been fatal, several millions of people are now in the seaports, in South Wales, in Staffordshire, in the mining districts of the north, in the towns of the West Riding of Yorkshire, and in the dense districts of Lancashire, where the health of parents is depressed, and the circumstances are often so prejudicial to their offspring, that, of the coming generation, five instead of two of every ten born are destroyed in the first five years of life, and the survivors, with a few happy exceptions, are left with shattered, feeble, febrile, and disorganized frames. The countenance of the children is painful in these districts, and in all the places where cholera has raged, presents the most striking contrast to the healthy hardy aspect of the children in salubrious fields. Their degeneration is as inevitable as the degeneration of horses, oxen, sheep, in circumstances equally unfavourable.
All analogy, however, proves that no extensive or permanent degeneration of a race can be accomplished in less than two or three generations. The great change is as slow and insidious as it is certain. It is rarely perceived by its victims; who remain rooted and benumbed on the spot unless they and the community are aroused by sudden and terrible catastrophes. That angel which, it would seem, it has pleased the Almighty Creator and Preserver of Mankind to charge with this dread mission is the Pestilence. Wherever the human race, yielding to ignorance, indolence, or accident, is in such a situation as to be liable to lose its strength, courage, liberty, wisdom, lofty emotions— the plague, the fever, or the cholera comes; not committing havoc perpetually, but turning men to destruction, and then suddenly ceasing, that they may consider. As the lost father speaks to the family, and the slight epidemic to the city, so the pestilence speaks to nations, in order that greater calamities than the untimely death of the population may be averted. For to a nation of good and noble men Death, is a less evil than Degradation of Race.
The acknowledged greatness of England has been variously accounted for; and it would be illogical to refer it to any single circumstance. Among its primary causes are, however, unquestionably to be classed the character and quality of the race of men—derived in happy proportions from a Scandinavian, Celtic, and Saxon stock—and bred mostly in pure air on the hills and grounds of moderate height supplied with running water, or on the fertile plains and valleys of an island, pregnant with mineral wealth and well placed for commerce on the frontier of the old and in the way to the new world. Englishmen have derived weapons in industry and war from the coal and iron mines ; but their strength and courage, in modern as in ancient days, came from other sources. Their skill, industry, science, religion, justice, freedom, sense of duty, love of country, and goodwill for other people, have all contributed to their success: they were bestowed on them by nature, circulate in their blood, and beat in their hearts. No race of men, living in maremmas, marshes, deltas, low sea-coasts, low river-sides, could have acquired or wielded the power of this empire.
In the ten years 1841-50 more than 744,809 children were bom in seventeen port districts, six inland districts, and eleven districts of London on the south side of the Thames, where cholera destroyed 26,2.’58 lives in 1849 ; and it is probable that more than one-fourth part of the next generation of the English race will be born and bred in insalubrious places, which must in the long run induce degeneracy. The proportion of such births is rapidly increasing. Is it not time, then, to take heed 1 Are we not on the verge of a great calamity? This question is more than a question of life and death for the people. If degeneration should extend, and large numbers of the English race be divested of its noblest characteristics, their reclamation would be an arduous if not impracticable undertaking. For while nature in time supplies a loss of numbers, it is difficult by the most consummate art in favourable circumstances, to retrieve the loss of generous qualities. How few genuine instances are there of the regeneration of a fallen man, class, or nation?
Great Britain enjoys undoubtedly many advantages over the BabyIons of the ancient world, and the decayed maritime city-states. Extensive habitable highlands and fertile fields must always be the birth-place of a majority of its children. Its population and power can never be circumscribed within a single city or within the low ports of an alluvial coast; and it is surrounded by the refreshing sea. The vast populations which have recently settled in bad localities may almost invariably find in the neighbourhood, sites at elevations which, in these latitudes, cholera does not climb. With wealth, industry, and science at command, it is still possible to drain, and supply with pure water and a purer air, districts as low as Southwark, Westminster, Liverpool, and Hull; thus disarming them of much of their fatal power.
But malaria begets apathy. The unhappy inhabitants of unhealthy places disregarded statistical calculations—the counsels of their medical men—the analogies of nature, and the results of experience. The wan looks of their children, and the multitudinous Voices of their Dead did not move them. The Community was also in the wrong! for the laws left them without warning, punishment, or effectual assistance. Then Cholera came; and in two heavy visitations carried off more victims than the United Kingdom has lost in many wars. It may, if nothing is done, after a season return, for it still reigns in India. But let these human sacrifices suffice. The great Sanatory Reforms which will shield the country from pestilence, while they save the lives of thousands,will prevent the degradation of successive generations; and promote the amelioration and perfection of the human race.
Conclusion
For the practical applications of the results of this inquiry I must refer to the Report: I shall here only insert the following:—
Persons who have the means may, by an early removal from an infected district, always find safely in such salubrious districts as the tables show had deaths neither from diarrhoea nor cholera in the year 1849. The sportsman on the moors, and the people near the river sources of the country, in the first week of September, when the cholera killed 2,157 persons in London and 4,991 persons in other places, were in those high situations in no danger whatever of an attack. Many people left London, and went, as Usual, to the sea-side. This was an error: sometimes the disease within them was developed on the low land; sometimes they were attacked, not only in the towns, but in the villages on the coast.
Strangers who can avoid it should not visit a town in an epidemic. They appear to be peculiarly liable to an attack. Persons whose duties confine them to an infected town will find that removal from districts in which the epidemic is raging to high, clean districts of the same town, insures a great degree of immunity.
In outbreaks, where it may be necessary to move large numbers of people, they should be sent to high, dry ground, where good water can be procured. Clean ships generally find safety by going out to sea; armies, by removing from the camp in which they are attacked, and encamping on high ground.
High places are also generally safe asylums from plague, yellow fever, remittent fever, and ague. It is necessary in the epidemics, as it is in cholera, to keep away from marshes and rivers in the lower parts of their course, and to obtain water, if possible, from unpolluted springs.
Armies suffer more from cholera on march, or immediately afterwards, than they do in station. Many instances are adduced from Indian experience by Mr. Orton; and the fact is placed beyond doubt
by the statistical analyses of Assistant-Surgeon Balfour.* The encampments and marches of the Indian armies lie often by rivers, on low grounds. Cholera found the Marquess of Hastings near the margin of the Sinde, in Bundlekund, on November 7, 1817, and destroyed in one week 764 fighting men, and some thousands of the camp-followers of the grand army; it ceased after the 19th, when he crossed the clear stream of the Betwah, and encamped upon its high and dry banks at Erich.† Colonel Pearse had been marching, in 1781, on the sea-coast six days through “sand and sea water,” when his 5,000 men were “attacked with inconceivable fury,” and the road was strewed with the dead in the first well-recorded epidemic of Asiatic cholera.‡
If an army had been marched through or encamped on the low streets of Southwark south of the Thames, in August 1849, it would no doubt have suffered severely from cholera; while it might have been moved down the high roads north or south of London with impunity. The danger from pestilence of every kind is diminished
* See some good observations on the movement of troops, in the ” Statistics of Cholera,” by Assistant-Surgeon Edward Balfour. He shows, that of the native soldiers of the Madras army, 32 died of cholera in cantonment, 86 when marching, to an average strength of 10,000. The attacks were respectively 85 and 200 in 10,000. Dr. Lorimer’s Reports show that the troops were more frequently attacked on long than on short marches: thus, the troops in 219 marches of 20—40 days were attacked 39 times; while in 14 marches of 100—120 days they were attacked 7 times. If we take 100 marches as the basis, they were attacked 18 times in about 30 days, in the one case; while in the other case they were attacked 50 times in about 110 days, that is, at the rate of 14 times in 30 days. This is no proof that fatigue increases the liability to attack; it only proves that, on the long marches, the men are exposed a longer time to the causes of the disease.
Mr. Balfour would assuredly expect more men to be wounded in a battle of three days, than in a battle of one day’s duration.
It would be a great advantage if soldiers in the field could sleep on raised camp beds.
† Jameson on Cholera, pp. 15, 16.
‡Algiers is as fatal to the French as India is to the English soldier; for the annual mortality was, as M. Boudin has shown, in his valuable papers on Algeria, and ” Statisque de l’Armee,” 7.58 per cent, in 1837-1846, or four times as great as the mortality (1.86 per cent, in 1842-1846) in France. The mortality was as low as 4.5 in 1838, and as high as 14.1 per cent, in 1840: it varied at the different stations in 1845, and was 3.6 in Algiers, 3.7 in Mostaganem, 4.2 in Oran, 5.5 in Philippeville, 6.6 in Blidah, and 14.1 in El-Arouch. The following order, addressed by Marshal Bugeaud, in 1847, to his Generals, shows that the French had become alive to the danger of encamping on low grounds:—
“J’ai remarque que MM. les commandants de colonne choississent leur campement au bord des cours d’eau, dans l’intention louable sans doute d’eviter a leur troupes des corvees pour aller a l’eau. Mais l’experience a demontre que cette maniere de camper donne un nombre considerable de malades.—Une settle nuit passee dans un bas-fond suffit quelquefois pour donner une centaine de malades sur en effectif de 3000 hommes. On comprend avec quelle rapidite une colonne serait fondue si cette mauitire de camper se renouvelait.
“Je recommande donc de la maniere la plus formelle a tous les commandants de colonne de choisir toujours leur campements surles hauteurs et des coteaux, toutes les fois que le terrain le permettra.—Pourvu que l’on puisse bien se garder dans la position que I’on choisit, peu importe la forme donnee au camp si l’on est dans un endroit salubre. II vaut infiniment mieux imposer quelques corvees aux hommes pour aller a l’eau et pour mener les chevaux et mulets a l’abreuvoir. La sante des soldats en souffrira beaucoup moins que de camper dans un endroit soumis a des influences morbides.”
by keeping troops on high ground: they often lose their strength, and perhaps some of their courage as well as health, on low ground near rivers and marshes; which, judging by the event, notwithstanding some advantages, make as bad lines of defence for armies as they do places of refuge for feeble nations, who only survive and permanently resist in the hills.
The Walcheren expedition is an illustration of the fate of military operations on the deltas of great rivers, or on the low islands at their mouths.*
The Peninsular war offers an example of a different kind: our troops suffered severely on the Guadiana: but the earth fought for the English on the high lines of Torres Vedras; and against Massena in the humid plains below, until he retired to Santarem, and finally retreated with the loss of 40,000 veterans. The French army remained starving for five winter months, in the midst of marshes; and the disastrous incidents of the retreat showed that they there lost many of their finest qualities.† They began their retreat with 10,000 sick.
Travellers in unexplored countries should not rest on low, swampy spots; they have the best chance of preserving their health and tho health of their horses and cattle by passing the nights on high ground, in the neighbourhood of springs, or near small rapid rivers. The two Landers, after Captain Clapperton, by adopting this course, landing at Badagry, and, as their map and journal show, keeping on the high grounds, arrived at Yaouri, and both succeeded in descending the Niger alive.‡ An attentive examination of journals of travels establishes the value of this rule.
Earth. If it is important that travellers, armies, and all moving bodies of men should avoid damp, low grounds, it is evidently of still greater importance that the habitations of a people should be raised on dry, drained land of a certain elevation, washed by rains, and ventilated by the breezes of heaven. The sites of many English towns are unexceptionable; they lie beautifully on the slopes of hills against the sun; the spires of their churches stand out against the sky. The sites of other cities, and of parts of nearly all, are, as we have seen, singularly bad, and should never have been selected for building. Sites of towns are as much a matter of public concern as lines of road, canals, or railways; and legislation could not be more advantageously employed than in directing and facilitating selection. The present law of settlement, and the mixed, complicated, uncertain tenure of land,
* “Select Dissertations,” by Sir Gilbert Blane, Dis. III. He notices that those who slept in the upper stories of houses were less liable to the Walcheren fever, and had it in a milder form, than those who slept on the ground floors. Dr. Ferguson remarked in St. Domingo, that two-thirds more men were taken ill on the ground floors than on the upper stories. The celebrated Dr. Cullen observed the same in the sickness which he witnessed in Porto Bello in the year 1740. p. 91.
† Dispatches of the Duke of Wellington, vol. vii., pp. 256, 270, 448. “I never saw an army so healthy as this [the English]. Indeed I may say that we have scarcely any sick, excepting in the Walcheren regiments.”—16 Feb., 1811. “The enemy’s loss in this expedition to Portugal is immense; I should think not less than 45,000 men, including the sick and wounded; and I think that, including the 9th corps, they may have 40,000 on this frontier.”—9th April, 1811.
Napier, Peninsular War. vol. iii., Book xii.
Alison, History of Europe, c. 63.
‡Lander’s Niger Expedition.
interfere seriously with the choice of ground, and exclude the people from many of the best sites in the immediate neighbourhood of the places in which they dwell. This evil can be remedied. The railways now offer extraordinary facilities for distributing the population over a wider area; and as the canals and navigable rivers have drawn the population down, the roads, stations, and warehouses, kept as high as is practicable, may counteract this tendency, raise people to a higher level, and at once facilitate drainage and the application of the sewage to agricultural purposes.
The higher districts of Middlesex, Surrey, and Kent, immediately around London, arc as healthy as any in the world; so that a moderate extension of the building-area in the right direction, would be sufficient to secure salubrious sites. The cost of conveyance and carriage would be speedily compensated even to artisans by their increased health and energy; their children would be saved from death, disease, deformity, vice, drunkenness, degradation, the prolific fruits of malaria. They would be susceptible of religious and intellectual culture; which, in their present dwellings, is made difficult for the children of good and worthy workmen.
The houses in England and “Wales amounted to 3,117,182 In 1841, and to 3,433,859 in 1851 ; the increase in the interval was 316,677, in addition to those, which were built to replace decayed and destroyed houses; so that in the towns of England the selection of building-sites is a question constantly open.
In the Colonies the choice of sites for new towns is a matter of primary importance. The sites lying most conveniently for commerce are often low and insalubrious; but as low shores are more subject to inundations, earthquakes, pestilences, and the influences that deteriorate the English race, the tempting facilities which they offer should not weigh against the enduring advantages of high healthy lands. Regard must of course be had to defence, commercial convenience, and fertility of soil; but in taking possession of new countries, the proper course would appear to be to ascend the rivers sufficiently high to secure vigour of race, and then gradually to descend towards the deltas, draining and cultivating the land on the way. The rule is the result of all our present investigations; it is quite in conformity with the traditional course of the primeval races. The example of Holland, of America, and of parts of England, shows that low fen and marsh land is habitable; and with efficient drainage, it is probable that, if thinly peopled by a race well fed and naturally hardy, neither disease nor degeneration would go beyond a certain point, quite compatible with a comfortable if not a very spiritual and exalted existence. A moderate elevation in temperate climates is a protection against many evils: as cholera has shown in London.
Climate. Long experience alone can ultimately determine what climates are healthy; and every locality must be ultimately judged by the test of such a calculation as has been applied to the districts of England and Wales. But analogy justifies the inference from experience, in some cases brief and imperfect, that in parts of Canada, the United States, South America, New Zealand, the Isles of the Pacific Ocean, Australia, and Southern Africa, the English race retains the energy, which it invariably loses in two or three generations on the low tropical lands of the West India Islands, of the West Coast of Africa, and of Southern Asia; where much of the best blood of England has been sacrificed without establishing permanent settlers, making any evident impression on the native population, or producing any Listing fruits. Near the spot which has, for many years, been the centre and the capital of the imperial power in India, the devastating epidemic Cholera was generated, which has twice ravaged these islands, and twice encircled the world. The average mortality of the English troops in India has hitherto exceeded 5 per cent. annually. The removal of the European population from the low to the high land, railways, vast systems of drainage, and the steady prosecution of the sanatory measures which have been commenced, are required to justify the credit which the Government of India has latterly obtained for enlightenment and beneficence.
W. H. Duncan, Esq., 51.D., the Health Officer of Liverpool, was present when the above paper was read, and has kindly placed the following letter at the disposal of the Council:—
My Dear Sir,— 15th May, 1852.
In compliance with your suggestion, I have examined the question as to the influence of elevation on cholera in Liverpool, and the following are the results.
The borough is divided into sixteen municipal wards or districts. In the eight highest districts, having an average elevation of about 100 feet above high-water mark, the mortality from cholera was 90 in 10,000 inhabitants. In the eight lowest districts, with an average elevation of about 35 feet, the mortality was 214 in 10,000.* The higher districts had a population of about 186,000; the lower, about 165,000.
Dividing the districts into three groups, having, as nearly as the arrangement admits of, equal amounts of population, the mortality in the highest group was 59 in 10,000; in the middle group, 176 in 10,000; and in the lowest, 211 in 10,000. The average elevation of these groups was respectively about 125, 50, and 30 feet. In the first group, the elevations varied from 110 to 160 feet; in the second, from 44 to 74 feet; in the third, from 20 to 38 feet.
Taking the districts singly where the difference of elevation is only 2 or 3 feet, I find the law is not carried out, being apparently overpowered by disturbing elements which come into operation. But when the districts of approximating elevations are grouped together, and the groups so formed contrasted, tho results distinctly point to a relation between the elevation of the soil, and the mortality from cholera.
I myself estimated the elevations from the contour-map of the borough, so that they cannot be depended on as strictly accurate. They are as nearly so, however, as I could make them. I am, dear Sir,
Yours faithfully,
William Farr, Esq. W. H. Duncan.
* By the law in the previous paper, 113 : 48 : : 214 : x = 91 = mortality from cholera in the higher districts. The actual mortality observed was 92.—W. F.
[last page 183]
Note: The following notes immediately followed and pertain to the scheduling the day of Farr’s his presentation, all appearing on p. 183.
MISCELLANEOUS.
PROCEEDINGS OF THE STATISTICAL SOCIETY OF LONDON.
Session 1851-2.
Fifth Ordinary Meeting. Monday, 15th March, 1852.
Lieut.-Colonel W. H. Sykes, Vice-President, in the Chair. The Right Honourable Lord Wodehouse was elected a Member of the Society.
The following Papers were read:—
1. On the Rate of Mortality prevailing in the Medical Profession. By F. G. P. Nelson, Esq.
2. On the Mortality in the Bombay Army. By Lieut.-Colonel W. H. Sykes.
Sixth Ordinary Meeting. Monday, 19th, April, 1852.
Lieut.-Colonel W. II. Sykes, Vice-President, in the Chair.
The following Gentlemen were elected Fellows of the Society:—
E. Marmaduke Clarke, Esq. I William L. Howard, Esq.
Walter Ruding Deverell, Esq. | Edwin H. Galsworthy, Esq.
The following Papers were read :—
1. Vital Statistics of Chittagong, Bengal. By Assistant-Surgeon Bedford.
2. Mortality from Cholera in England, 1848-0. By “W. Farr, Esq.
Seventh Ordinary Meeting. Monday, 17th May, 1852.
Lieut.-Colonel W. H. Sykes, Vice-President, in the Chair.
Edward Barlow, Esq., was elected a Fellow of the Society.
The adjourned discussion on Mr. Farr’s Paper on Cholera in England, 1848-9, was resumed.
finis











Leave a comment